
こんにちは!ぴゅーぱ(@cryptoera_pupa)です!
4月25日投稿のALISβ版の報酬配布は近日中!?報酬についてALISのCMO水澤氏に質問してみた! に投稿から12時間ほどで30いいね以上が集まり、人気記事最上段表示を確認しました!評価してくださった方々ありがとうございます!
ということで、調子にのって今回の記事はALISの「いいね」への報酬について解説していきたいと思います。本当はWP解説記事にて触れる予定だったのですが、5000人の登録者に対して3桁のいいねが集まる記事があまりない現状を見て、多くの人に評価者になっていただきたいと思い、この記事を書きました。(登録したけど利用してないって人結構いるのかな・・・?)記事を作成するのは少し大変かもしれませんが、いいねは気軽にできると思いますので、この記事を読んであなたも評価者になってみましょう!(まずはこの記事からいいねだ!ナンチテ)
ご存知の方も多いと思いますが、評価者も報酬がもらえます。
良い記事を発見する評価者に対して報酬を支払うことで、ユーザに良い記事を評価するインセンティブ(動機)が生まれます。Google等の検索エンジンではGoogleという中央集権が良い記事を上位に表示していくわけですが、ALISではユーザが相互に評価し良い記事を決める、まさに非中央集権―Decentralizedの世界なのです。
じゃあなんでもいいねしていけばいいのかというとそうではありません。ユーザに求められるのは「目利き」の力。多くの人に評価されるであろう記事を早く評価する人に多くの報酬が支払われます。
実際のところ評価者にどのくらいの報酬が発生しそうなのか?まだ推測の域を出ませんが、WP(ホワイトペーパー)を基に考察していきます。
※先日配布ロジックはWPと大きく変更はないという旨の回答をALISチームから頂きましたが、一部が変更される場合があります。また、トークン保有率とは別の信頼ポイントによる報酬の増減に関しては未実装であることと、詳細不明のため当記事では触れません。
我々はインフレ分のALISトークンのうち、90%を作成者、10%を評価者に配布するロジッ クを設定する。
これは、初期においては記事の量が集まることが重要であると考えているからである。しかしながら、記事の量が集まった次に重要な指標は記事の評価に徐々に変わっていくだろう。その場合には評価者への配布量を増やすべきであると考える。
初期段階では評価者は全報酬のうちの10%のトークンを得ることができます。1記事に対して90%を作成者1人で、残りの10%を評価者全員で分けることになるため評価者の受け取る分は少なくなるように思えますが、まずはALISに多くの記事が並ぶ必要があることと、記事作成には評価に比べて労力と時間が多くかかることを考えると妥当な設定だと思います。
ではなぜ良い記事を見つけた評価者は報酬が多く受け取れるのでしょうか。
理由は簡単。多くの評価者に評価された記事は評価ポイントが大きくなるからです。
いわゆる「ハズる」記事を評価することで多くの報酬を受け取ることができます。
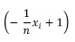
これについてはWP中の数式を見てみましょう。
なにやら小難しい数式ですが、注目すべきは
の部分。
総評価数に対して自分が評価した順番が遅いほど、この数値が0に近づきます。
(Valid ALIS tokens owned by the user)/(ALL valid ALIS tokens) は全てのALISトークンに対して自分が所持するALISトークンの割合です(正しくはALISウォレットで有効化されている割合)。クローズドβ版ではウォレット機能はないので、全ユーザが一律の値に設定されているはずです。この値を0.01と仮定してどのくらいの報酬になるか見てみましょう。n=50とすると以下のグラフのようになります。
1番目に評価した人はほぼ100%の報酬を受け取れるのに対して、25番目に評価した人は50%、45番目以降は10%の報酬を受け取ることになります。
上のグラフを見てみると、すでに多くの評価をもらっている記事を評価するのは損なんじゃないかと思われるかもしれませんが、結局のところ伸びる記事を評価するのが良いと思います。というのも、総評価数が10の記事に対して1番目に評価しても記事ポイント自体が少ないため、それはど報酬が多くならないと予想します。それならば、15番目の評価だとしても総評価が50になる記事を評価するほうが報酬が多くなるかもしれません。報酬ロジックから考察するに、「何番目に評価するか」よりも「自分より後に何人が評価するか」が大事になると考えています。
今回はどうしたら報酬が多くもらえるかといった話になってしまったような気がしますが、ALISの発展のためには「目利きが上手な人」にうまく報酬が渡るロジックになることが重要です。まずはALISユーザが自分が良いと思う記事を評価して自分の目利き力を確認するとともに、ユーザ側からも報酬ロジックについて考えていけたらいいなと思います。
早く評価することで多く報酬を受け取れる理由 の項で説明した数式中のαというパラメータですが、WP中では、
評価を⾏った当該ユーザが5分以内に別の記事を評価していた場合0、そうでない場合1になるパラメータである
という説明がされています。つまり評価をしてから5分以内に別の記事を評価してしまうとその記事について報酬が受け取れない可能性があります。報酬ロジックについて公式から詳しい説明はでていませんが、注意することをおすすめします。
引用 : ALIS日本語ホワイトペーパー
日記みたいなもの
ALISに数日触れてみての感触ですが、当初ある程度危惧していた有名人に票があつまるんじゃないの?っていう心配はとりあえず薄まりました。超大物が参戦したらどうなるかわからないですが、フォロワー1桁でお友達がいない私の記事が人気記事TOPになったことはとても嬉しいことですし、他の方々のモチベーションになればいいなと思います。
読み手としても、いくつかの記事を評価してみました。ためになる記事とは正反対の毛根女子さんの記事がめちゃくちゃツボです。でも、これも「有用な記事」のひとつなのかなと思ってポチポチ評価しちゃいました。他にも、仮想通貨の話であればある程度は理解できるのですが、あまりに技術的な話だとそれを評価できない自分にもどかしさを感じます。他の方の多くも当てはまると思うので利用者やジャンルが拡大するにつれ、ALISのひとつの課題になると思います。大衆受けコンテンツで溢れるのもちょっと違うかなと思うので今後の行く末を見守ろうと思います。
では、また次の記事でお会いしましょう!
↓私の他の記事とTwitterはこちらから↓











