
こんにちは!ぴゅーぱ(@cryptoera_pupa)です!
怒涛のALIS記事4連投目ですが、さすがにそろそろ別ジャンルにも挑戦してみたいと思います。言い訳になりますけど自分が一番よく知ってる仮想通貨がALISだからALISについて書きたいしそれがコミュニティやALISのためになると思ってます。
26日投稿の【解説】ALISの「いいね」への報酬の仕組みは?もうバズっている記事へのいいねは損? もたくさんの評価をいただき、25日投稿のものと人気記事ワンツーをとることができました!ありがとうございます。
さて、ALISの仕組みを多くの方々に興味をもって頂いていると思いますが、今回はALISやTwitter上でみつけたALISのシステムについての質問や指摘に対して勝手に回答していきます。
どどんと4つの話題について回答していきますが、書いていたら思ったより長くなってしまったので数回に分けて記事を書きたいと思います。(記事数の水増しじゃないんだからね!)
あくまで個人の意見としてなので、それは違うでしょってとこがあったらご連絡いただけると嬉しいです。
ALISの報酬はインフレ分のALISトークンから支払われます。
ALISウォレットによって有効化されているトークンに対して50%のインフレ率でトークン数が増加していきます。「有効化」についてはまた後で説明しますが、ALISウォレットに入れられて流動性が低くなった(売られる可能性が低い)トークンに対してインフレするので、過度のインフレや売り圧が大きくなることを防ぎます。
インフレ率に関しても、初期のSteemが100%だったのに対して、ALISは約10%程度になると予想されています。(現在Steemのインフレ率は9.5%ほど)3年間で1.1^3≒1.33 倍の発行数、価格が1.33倍になってトントンといったところでしょう。
ただひとつ問題があるとすれば、ALISのインフレ率が複利であることでしょうか。
ビットコインも約10分ごとに新しいビットコインが生まれていますが、半減期とよばれる数年ごとに発行数が減少していく仕組みをもっているため、指数関数的に増加していくALISとは性質が異なります。両者を比較してみましょう。
増加率で考えると最初の4年程度であればビットコインのほうがガンガン増えていってますよね。確かにALISはICOでセールを始めた時点である程度の発行数があること、初期のビットコインは知名度がほぼなかったことなど相違点はありますが、私はそれほど高いインフレ率だとは思っていません。ただし、ビットコインが約4年ごとに半減期を迎えて発行枚数が減少していき発行上限枚数が決まっているのに対して、ALISは発行枚数がグングン伸びていきます。しかし、大きく心配する必要はありません。
これらのパラメータについてはプラットフォームの段階に応じて調整されるべき値であると考えているが、その調整を我々運営者が実施するのは⾮常に中央集権的になってし まう。そこで、我々はコミュニティよりこのパラメータの調整を要望された場合、ALISトークンの所有量に応じた投票を実施し、コミュニティの総意(51%以上の同意)を持ってパラメータを変更する運営⽅ 法を取ることを将来的には検討している。
引用 : ALIS日本語ホワイトペーパー
このようにWPに記述があるように、インフレ率をはじめとする報酬ロジックは我々コミュニティによって変更することができます。
<トークン価格を維持するための仕組み>
どの仮想通貨においても新規発行分の通貨が売られることは脅威です。特にALISにおいては報酬として受け取った分がすぐに売られてしまうことは避けたいわけです。ユーザが長期的にALISトークンを保有することはALISの長期的な発展に繋がります。
ここで偉大なる先人Steemitの例をみてみましょう。余談ですが、ALISにとってSteemitがすでに機能しているということはとても心強いことだと思っています。
Steemitは「売り圧」を抑制するために3種類の通貨を用いた経済システムを構築しています。3種類の通貨とは以下のものです。
・STEEM・・・Steemitの基盤となるプラットフォームの通貨。
・Steem Power (SP)・・・Steemitでの影響力となる通貨。所持数が多いほどいいね(Up vote)によって記事作成者への報酬額が大きくなる。
・Steem Dollars (SBD)・・・ドルとペッグされた通貨。報酬額の安定化の目的。
三者のそれぞれの関係は以下のようになっています。
実は、Steemitの報酬はSTEEMで支払われるのではなく、「SPとSBDで50%ずつ」もしくは「SPで100%」で支払われ、ユーザーはそれを選択することができます。
SPをSTEEMに変換することを「Power Down」といいますが、これには制限があり、1週間に1/13のみ変換可能です。
1万円分のSPを報酬として受け取っても実際には約770円分のSTEEMを13週にわたって受け取ることになります。
SBDは3日ほど時間が必要ですが、SPよりは早くSTEEMに変換することができます。
また、SPとSBD共に所持することで利子が与えられます。この仕組みによってユーザーが即座に市場にSTEEMを放出することを抑制することができます。
この仕組みが少し分かりづらく、初めてSNSに触れようとした人を遠ざけてしまう可能性があるため、ALISでは1種類のALISトークンのみで売り圧の問題を解決しようとしています。
・有効化
ALISトークンはウォレットに移してから時間がたたないと有効化されず、信頼ポイントに反映されないように設計されています。
これは、ブロックチェーンのコンセンサスアルゴリズムのPoS(Proof of Stake)に似たシステムです。
PoSのマイニングは所持枚数と所持時間(Coin age)によってマイニング難度が変化し、多く長く所持しているとより簡単にマイニングすることができます。長い時間その通貨を大量に所持している人はその通貨に対して不利益な行動をとらないだろうという考えられるからです。
同様にして、ALISにおいてはALISトークンを持っていることが信頼に繋がります。
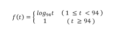
PoSのデメリットとして通貨自体の流動性が下がる点がありますが、これをうまく逆手に取ったシステムですね。ALISトークンの有効率は以下のような式で表され、グラフで表すと以下のようになります。
t :トークンをALIS上のwalletにうつしてから経過した⽇数
100%に到達するには94日もまたなければなりませんが、10日で半分以上、38日で8割ほどのトークンが有効化されます。
一度トークンをウォレットから取り出すとトークンの有効率は0になります。トークン所持量によるメリットが失われ、また1から始めなければならないため、簡単にトークンを引き出さないようにしています。
例えば、初日に100トークン、20日後に200トークンをウォレットに移し、さらに30日後に150トークンを引き出したとすると有効化されるALISトークン数の推移は以下のようになると考えられます。
報酬を現金化したいときは、まとめてALISトークンを引き出すのがよさそうです。
これらのシステムが正常に働けば、ALISの経済システムも健全化されるでしょうが、多くのテストが必要なはずです。クローズドβ版ではいまのところウォレット未実装ですので、ほかの部分の検証が終わり次第こちらのほうのテストもおこなっていくことでしょう。個人的には少し問題ありの部分もあると考えていますので、また他の記事で書いてみたいと思います。
では、また次の記事でお会いしましょう!
↓私の他の記事とTwitterはこちらから↓










