
◆ リンク
アリスブログ > ALISの情報まとめ > 当記事
◆ 「ALISの報酬ロジックは、問題ではないよ」という話
ALISの報酬ロジックに関することを、「ぴゅーぱさん」と「アリスマン」さんが語っていたので、私も意見を述べておこうかなと思い、記事を投稿。
結論から言わせてもらうと、私は「ALISの報酬ロジックにおいて、さほど問題はない」と考えています。
○ 留意事項
・下記の内容は、クローズドβには実装されていません
・運営の考え次第で、ルールが変わるかもしれません(重要)
・ホワイトペーパーに書かれていることだけで判断しています。……そのため、実際には以下のようにならない可能性もあります
・この記事は「2018/07/10」に作られています
◆ 理由
理由は「2つ」あります。
1,ボーナスを受け取れる人が殆どいない
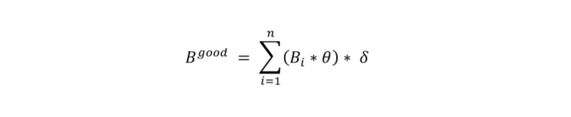
基礎ボーナスというのは、下記の式のことを意味しており、
記事を作成したときに、ALISトークンを「1%以上」保有していれば獲得できるというものなのですが、
・現時点で、ALISトークンを1%以上保有しているホルダーは約50人
・2%以上保有しているホルダーは約12人
と、極めて少数な上に、ALISが発展してユーザーが増えたとしても、この人数が変化することはありません。
影響を与える人は殆どいないのです。
2,ボーナスが多いわけではない
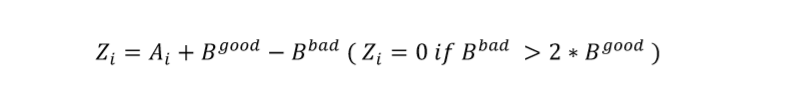
記事の制作における報酬は、以下の式になります。
(B-badは、存在しないかも……)
わかりやすく述べると、
記事のポイント = 基礎ボーナス + みんなのいいねポイントの合計
になるのですが、
実のところ、「みんなのいいねポイントの合計」の効力が大分強いので、基礎ボーナスが多少あったところで、そこまで大きな影響は出ません。
○ 過程での計算
・ALIS内でのALISトークンの合計は「2000万枚」とする
・ALISトークンを「3%(60万枚、現時点で600万円相当)」保有する「A君」と、ALISトークンをまったくもっていない「B君」を用意する
(ここでの3%は、ALIS内でのALISトークンを母数としています)
一例:
1,A君の記事に、ALISトークンをまったくもっていない人が「30人」評価した場合
A君の記事ポイント = 0.03 + 0.001 * 30 = 0.06
2,B君の記事に、ALISトークンをまったくもっていない人が「30人」評価した場合
B君の記事ポイント = 0.01 + 0.001 * 30 = 0.04
なんと! 上記の例の場合だと、「3%」保有という凄まじい量の保有者「A君」に対して、たった「1.5倍」しか差が出ません。
(※1 いいねの数が増えたり、ALISトークンを多く保有している人が評価するほど、この差は小さくなります)
(※2 逆に量産型の記事を作った場合は、報酬の差が大きく生じるようになるのですが、これはクローズドβの時点で既に対策されています)
インフルエンサーの「いいね」の報酬差と比べたら、全然気にする範囲ではないはずです。
つまり、記事を投稿する際に得られる「基礎ボーナス」は、あってないようなものなのです。
(大口専用の「おまけのボーナス的なもの」です)
○ では、ALISトークンを保つ必要がないのか?
それは違います。
いいねを押す側の影響力は、先程の計算式になっており
こちらは、最低値が「0.001」になっています。
(基礎ボーナスの最低値は「0.01」)
つまり、「0.1%」まで影響があるので、ALISトークンの保有量によって、とても大きな差が出るのです。
一例:
ALISトークンを「3%(60万枚、現時点で600万円相当)」持っている「D君」の場合
影響力 = 0.03
ALISトークンを「0.3%(6万枚、現時点で60万円相当)」持っている「E君」の場合
影響力 = 0.003
ALISトークンを持っていない「F君」の場合
影響力 = 0.001
なので、
・「D君」の1いいね = 「E君」の10いいね分 =「F君」の30いいね分
・「E君」の1いいね =「F君」の3いいね分
になります。
つまるところ、ALISトークンの保有量というのは、「いいね」の効力の強さ(相手に与える報酬の大きさ)だったりします。
なので、場合によっては、多少ALISトークンを持っておく必要があります。
……ちなみに、いいねクリックの報酬は「ライターの約10分の1」であることから、ALISトークンを多く持った状態で他者に「いいね」を押しても、自分のALISトークンがそこまで増えるというわけではありません。
◆ 結論
いいねを押すことによって、誰かに報酬を多く渡したいなら、ALISトークンを大量に持っておくべきですが、
自分がALISトークンを獲得したい場合は、ALISトークンを多く保有する必要はあまりなく……インフルエンサーになるか、良質な記事を沢山作るのが望ましい、ということですね。
(※1 正確には、ALISトークンを大量保有している人から「いいね」を多くもらうのが理想的です)
(※2 Steemitのように、保有者同士で「いいね」を押し合うケースを考慮すると、ALISトークンをたくさん貰いたい場合は、自分もある一定以上のALISトークンを保有する必要がありそうです)
(※3 「ルールの変更」や「新システムの追加」によって、ALISトークンを軽く保有している方に「ボーナス」が入る可能性もあるので、多少は持っておいたほうが良いと思います)
◆ 追記1
アリスマンさんが、Twitterで私の記事にコメントを残していたので軽く説明。
>だから結局保有するインセンティブがない
「基礎ボーナスをもらう面において、一般ユーザーにはインセンティブがない」ですね。
おおよそ、指摘の通りだと思います。
けれど、「いいねの報酬の大きさ」による影響は少なからずあるので、「このシステムにおいて全く実需がないわけではないよ」という意味もあります。
予想ですが、運営はWPを作った時点で、以下になることをすでに計画していたと思います。
1,基礎ボーナスは、初期の大口だけに軽くプレゼント
2,上記の結論「※2」より、一般ユーザーは、ALISトークンを保有したまま、お互いの「いいね」のやり取りによって、ALISトークンを増やしていく(Steemit方式)
3,場合によっては、大口同士が「基礎ボーナス」をもらうために買い争う
「2」「3」の方式で、実需を構築できると考えていたからこそ、あのホワイトペーパーの「数式」と「割合」が出されたのではないでしょうか。
けれど、この形式で本当に上手くいくかどうかは、私にはわかりません。
(この記事は、あくまで、「ALISの報酬ロジック」は多少実需が構築できるようになっているよ、と伝えたかっただけなので)
気になる場合は、運営に直接聞いてみるのが良いと考えます。
>今後普及したとしても買われないじゃんって話よ
実需の構築は報酬ロジック以外にもあるので、他の手法も組み合わせながら、ALISトークンが買われるように仕向けるはずです。
だからこそ、後に、運営からいくつかの「実需の構築案」が追加で発表されたのではないかな。
◆ 追記2
「エニグマさん」が「報酬ロジックの件」に関することを公式に質問されていたので、こちらにも記載。
より良い報酬システムに変わっていきそうですね。
楽しみにしています。
◆ ツイッター











