
こんにちは!ぴゅーぱです。
ついに!
ALISのクローズドβ版初回報酬の付与がされました!
おかげさまでかなりの数のいいねをいただいた記事もあったので気になる報酬額をチェックしていきましょう!
ではいままで書いた記事の振り返りです。(いいね数は4/30 12時現在)
4/24投稿 ALISと税金 |♡10
4/25投稿 ALISβ版の報酬配布は近日中!?報酬についてALISのCMO水澤氏に質問してみた! |♡75
4/26投稿 【解説】ALISの「いいね」への報酬の仕組みは?もうバズっている記事へのいいねは損? |♡70
4/27投稿 ALISに対する疑問に勝手に答えてみた!Part1 |♡8
4/28投稿 正しく使えてる?「引用」のルールと四角いボックスの意味 |♡16
4/29投稿 匿名通貨Zcash(ZEC)の「ゼロ知識証明」について解説してみる |♡18
以上6記事を書きまして、累計197いいねをいただくことができました!25日と26日の記事は人気記事1位をいただくことができてとてもいいモチベーションに繋がりました!ありがとうございます。
このなかに気になる記事があったらまだ遅くない!是非見てみてください。
それではみてみましょう。記念すべきALISβ版初回報酬はこちら!
なんかいっぱいもらえてる!
日本円にすると現在の価格で18,000円くらいになりました!
公開した記事はこれからも読まれるわけで、継続的な収入になる可能性があるわけですよ。しかもインフレ率が抑えられたβ版での報酬でこのくらい。無名の私がいきなり1記事あたり3000円。かなりイケてます。
額の話はおいといて、何より素人の自分が書いた記事がみなさんに評価され、報酬が受け取れるという経験がすごく嬉しくて、忘れられない経験になると思います。
まだALIS読むだけで記事書いてないよって方は是非挑戦してみてください。
私は投稿と同時に評価も行っていたわけですが、投稿に対する報酬が538.6 ALISだったのに対して、評価の報酬は19.116 ALISでした。
やはり予想通り投稿に対する報酬のほうがかなり多かったですね。実際のところ評価はスマホから気楽にできましたし、何よりALISを始めて自分がいままで知らなかったことや考え方にたくさん出合えたので報酬額よりも自分が得られたことは大きかったと思います。
せっかくなんで報酬について考察してみます。
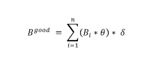
記事作成者に与えられるベースポイントA_iは以下の式で決められます。
所持トークン数が多いほどベースポイントが高くなります。つまりいままでもらった報酬が多いほど、記事のベースポイントは大きくなります。
このベースポイントに【解説】ALISの「いいね」への報酬の仕組みは?もうバズっている記事へのいいねは損?で解説した評価ポイントが加算されていきます。
つまり所持トークン数が多い人が書いた記事が所持トークン数が多い人に評価されると多く報酬がもらえることになります。
ここで、今回受け取った報酬を見てみましょう。報酬額/いいね数 で考えてみると初回投稿記事が1いいねあたり1.7 ALISで、最新投稿記事が1いいねあたり3.4 ALISとかなりバラつきがありました。もしかしたら直近のものはすでに所持トークン数が反映されているかもしれませんね。
まさに「継続は力なり」。これからも投稿頑張っていきたいと思います。
ではまた次回の記事でお会いしましょう!
↓私の他の記事とTwitterはこちらから↓











